Introduction

Ponatinib inhibits the BCR::ABL1 kinase, including a variant with threonine-to-isoleucine at position 315 (T315I) (Cortes et al. N Eng J Med. 2013; 369:1783-96); however, it has been reported that ponatinib is associated with a higher risk of major arterial events than other TKIs among patients with CML, those with a resistance/intolerance (r/i) to prior TKIs, and with patients with relapsed/refractory (r/r) Ph + ALL. ( Leuk Lymphoma. 2016; 57(6):1300-10.)

Owing to the low prevalence of this disease (Ning et al. Exp Hematol Oncol 2020; 9 (29)), SEER Cancer Statistics Review 1975-2018. National Cancer Institute 2021, Ching-Hong et al. N Engl J Med 2004; 350:1535-48), the amount of data concerning patients treated with ponatinib is limited, indicating that the safety and efficacy of ponatinib require further evaluation. Therefore, we conducted a post-marketing surveillance (PMS) study to assess the safety and efficacy of ponatinib, focusing on arterial occlusive events (AOEs), to optimize its use in clinical practice in Japan.

Methods

This PMS study investigated the safety and efficacy of ponatinib (ICLUSIG ®, Otsuka Pharmaceutical Co., Ltd., Tokyo, Japan) in patients with r/i CML who have been treated with TKIs and patients with r/r Ph + ALL. We collected clinical data from all patients in Japan who started ponatinib administration between November 21, 2016, and June 30, 2018. The observation period was two years (or until the end of ponatinib administration). AEs and ADRs were classified using the Medical Dictionary of Regulatory Affairs (MedDRA) version 25.0.

Surveillance was conducted in accordance with the Japanese Ministerial Ordinance on Good Post-Marketing Study Practice for Drugs.

Results

A total of 807 patients were enrolled from 334 facilities. Safety analysis was conducted for all 724 patients; 421 (58.1%) participants were males with a sample median age of 62.0 years. The median (range) follow-up duration was 258.0 (1-1,436) days for the overall population, 729.5 (7-1,436) days for patients with CML-CP, and 168.0 (1-1,254) days for patients with Ph + ALL.

As for safety data, adverse reactions (ADRs) were observed in 58.29% (422/724) of participants. The most common ADRs included platelet count decreases (8.15% - 59/724), hypertension (7.73% - 56/724), rash (5.56% - 41/724), decreased neutrophil count (4.83% - 35/724), and abnormal hepatic function (4.28% - 31/724). The most common serious ADR was a 2.49% (18/724) decrease in the platelet count.

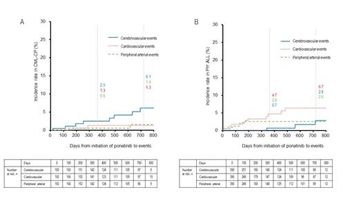
The incidence of AOEs was 6.49% (47/724) among the overall population, 6.22% (12/193) among patients with CML-CP, and 5.90% (23/390) among patients with Ph + ALL. The incidence of AOEs per 100 person-year was 6.8 events in total, 4.5 events in CML-CP, and 7.1 events in Ph + ALL. The incidence of cerebrovascular events was higher than that of cardiovascular events and peripheral vascular events in patients with CML-CP; there were no deaths related to AOEs in patients with CML-CP during the follow-up duration of PMS.

Univariate logistic regression analysis revealed significant associations between AOEs and age (OR 1.039, 95% CI 1.017-1.062), hypertension (OR 2.137, 95% CI 1.169-3.907), and diabetes (OR 1.950, 95% CI 1.026-3.707).

Regarding efficacy data, among the 89 patients with CML-CP who had not achieved MMR (MMR; BCR-ABL1transcripts [IS] ≤ 0.1%) before treatment with ponatinib, the cumulative MMR rates at weeks 12, 24, 52, and 104 were 22.8%, 36.9%, 58.8%, and 67.2%, respectively. Among the 19 patients with the BCR::ABL1 T315I mutation, the cumulative MMR rates at 12, 24, 52, and 104 weeks were 42.1%, 47.4%, 75.3%, and 75.3%, respectively.

In patients with Ph + ALL, the CCyR rates at weeks 0, 12, 24, 52, and 104 were 35.4% (51/144), 77.1% (108/140), 73.6% (53/72), 83.6% (46/55), and 80.0% (36/45), respectively.

Conclusions

This two-year post-marketing surveillance of patients with r/i CML and r/r Ph+ ALL has demonstrated the general favorable safety and efficacy of ponatinib to patients in Japan. The main adverse reactions were those events reported in the clinical trials up until the time of approval. Furthermore, regarding AOE, no expression levels exceeding the results of the clinical trial were confirmed. However, patients with advanced age and who have predisposing factors for AOEs should be closely monitored for possible adverse vascular events.

Takahashi:Astellas pharma: Other: Commissioned research and joint research , Research Funding; Asahi-Kasei: Research Funding; Pfizer: Honoraria, Membership on an entity's Board of Directors or advisory committees, Research Funding, Speakers Bureau; Novartis: Honoraria, Membership on an entity's Board of Directors or advisory committees, Research Funding, Speakers Bureau; Otsuka Pharmacuetical: Honoraria, Membership on an entity's Board of Directors or advisory committees, Research Funding, Speakers Bureau; Mochida Pharma: Research Funding. Kondo:Pfizer: Honoraria, Speakers Bureau; Novartis: Honoraria, Speakers Bureau; Otsuka Pharmaceuticals: Honoraria, Speakers Bureau. Ikari:Abbott Medical Japan: Honoraria, Research Funding; AstraZeneca: Honoraria; Amgen: Honoraria; Daiichi Sankyo: Honoraria, Other, Research Funding; Japan,Boehringerheim: Honoraria; Novartis: Honoraria; Bayer Pharmaceuticals: Honoraria; Asahi Intech J Sales: Other: Commissioned research and joint research costs; Otsuka Pharmaceutical: Other: Commissioned research and joint research costs; Terumo: Other: Commissioned research and joint research costs, Research Funding; Boston scientific japan: Other: Commissioned research and joint research costs; Farmel: Research Funding. Fukumoto:Otsuka Pharmaceutical: Honoraria, Other: Commissioned research and joint research costs; AstraZeneca: Honoraria; Ono Pharmaceutical: Honoraria; Kowa: Honoraria; Daiichi Sankyo: Honoraria; Toaeiyo: Honoraria; Japan,Boehringerheim: Honoraria; Novartis: Honoraria; Bayer Pharmaceuticals: Honoraria, Research Funding; Janssen Pharmaceutica: Honoraria, Other: Commissioned research and joint research costs; Alnylam Phramaceuticals: Other: Commissioned research and joint research costs; Ionis Pharmaceuticals INC: Other: Commissioned research and joint research costs; Japan Medical Device Techology: Other: Commissioned research and joint research costs; Abbott Medical Japan: Research Funding; OrbusNeich: Research Funding; Teijin Pharmaceutica: Research Funding; Japan Lifeline: Research Funding; Mochida Pharmaceutical: Research Funding. Hatake:Meiji Seika Pharmaceutical: Honoraria, Membership on an entity's Board of Directors or advisory committees; Takeda Pharmaceutical: Honoraria; Chugai Pharmaceutical: Honoraria; Celgene Corporation: Honoraria; towa pharmaceutical: Honoraria; Kyowakirin: Honoraria; Daiichi Sankyo: Honoraria; Eisai: Honoraria; Yakult Headquarters: Honoraria. Masunari:Otsuka Pharmaceutical: Current Employment. Nishibayashi:Otsuka Pharmaceutical: Current Employment. Kageyama:Otsuka Pharmaceutical: Current Employment. Fukuta:Otsuka Pharmaceutical: Current Employment. Tojo:LSI medience: Membership on an entity's Board of Directors or advisory committees; Sysmex: Membership on an entity's Board of Directors or advisory committees, Other: Commissioned research and joint research costs, Research Funding; Otsuka Pharmaceutical: Honoraria; RIKEN: Other: Commissioned research and joint research costs, Research Funding; Torii Pharmaceutical: Other: Commissioned research and joint research costs, Research Funding; Daiwa Pharmaceutical: Other: Commissioned research and joint research costs, Research Funding; KM Biologics: Other: Commissioned research and joint research costs, Research Funding.

This content is only available as a PDF.
Sign in via your Institution